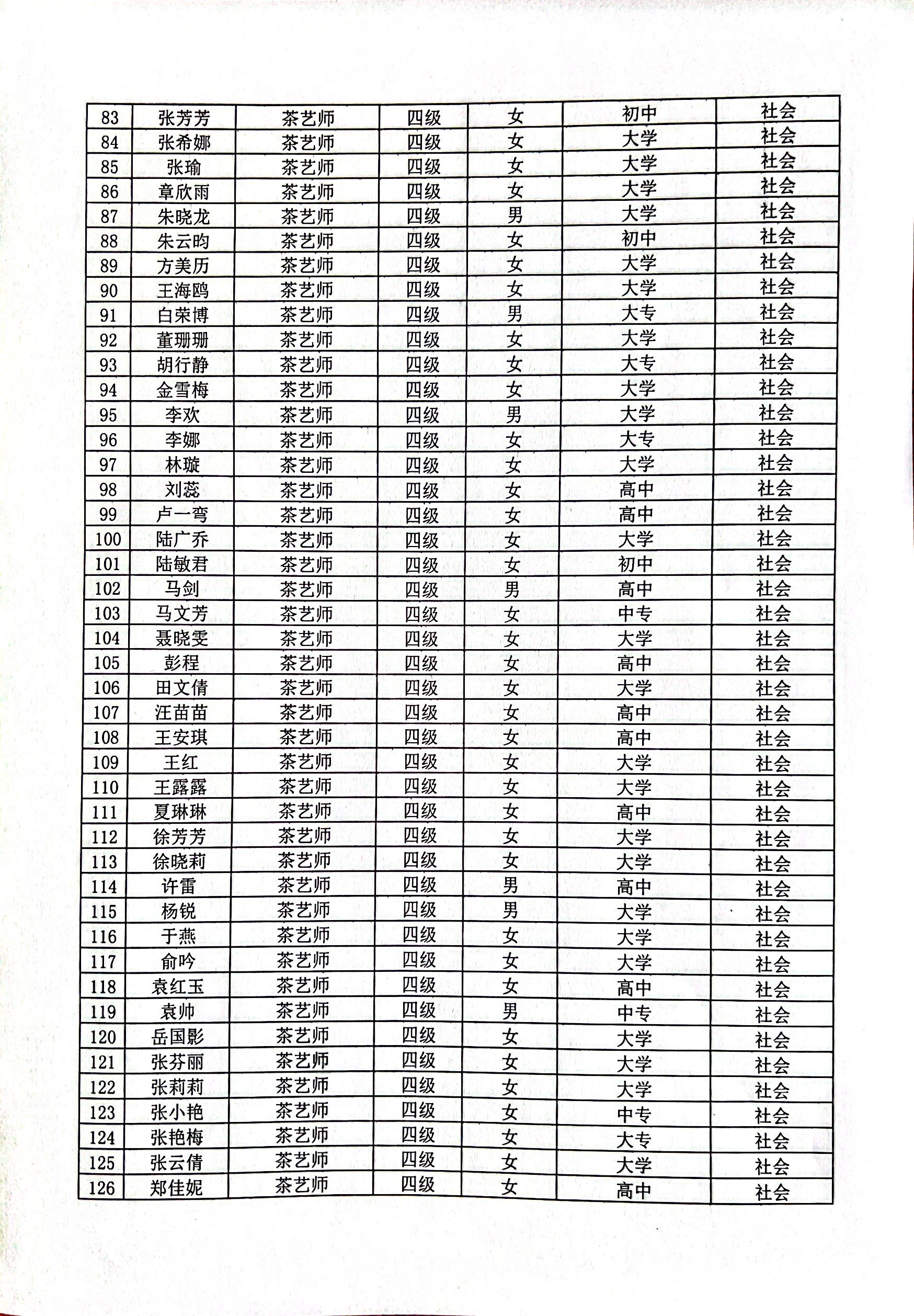
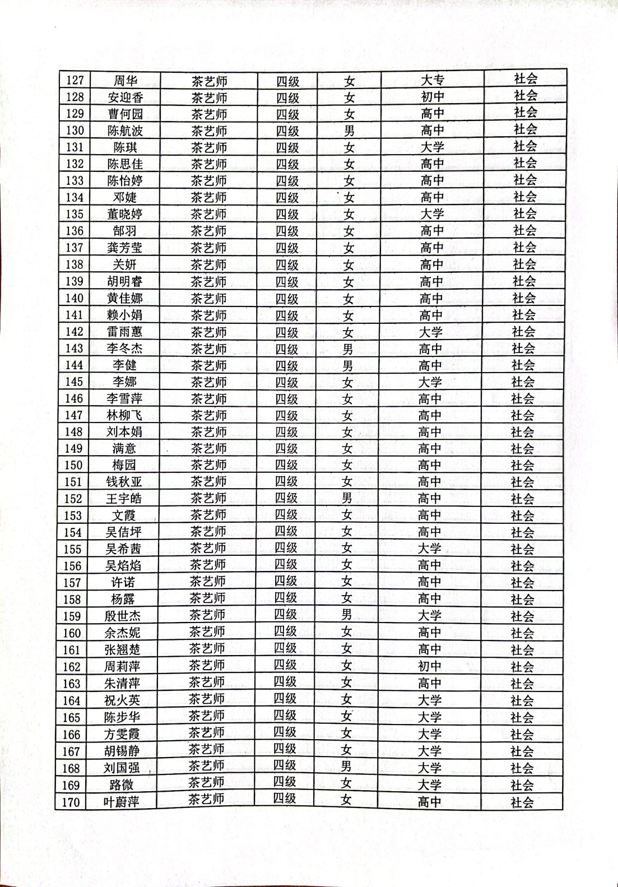
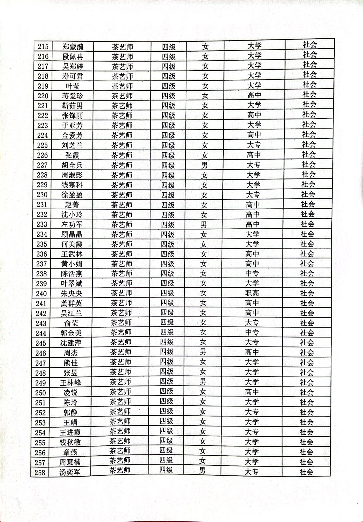
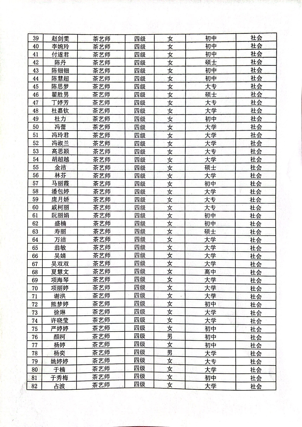
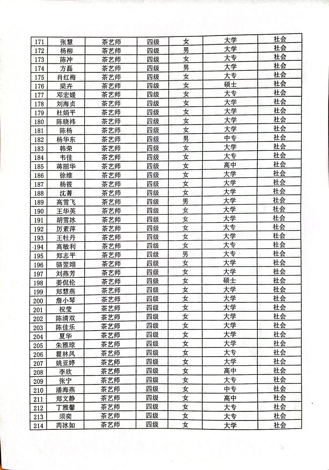
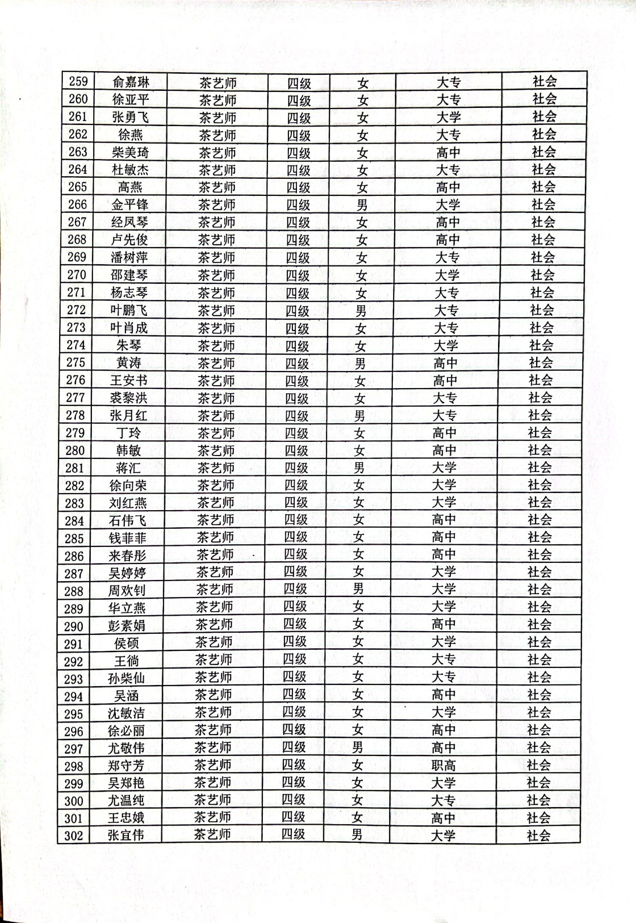
现将通过2022-07-33136批次茶艺师四级(中级)、2022-07-33218批次茶艺师五级(初级)职业技能等级认定资格审核考生信息予以公示,公示期5月2日至5月8号,如对公示情况有异议,请电话或书面联系公司培训中心。
培训中心电话:88297151
上一篇:关于304永利集团职业技能等级认定(茶艺师)再次延期举行的公告
下一篇:304永利集团专题部署疫情防控工作