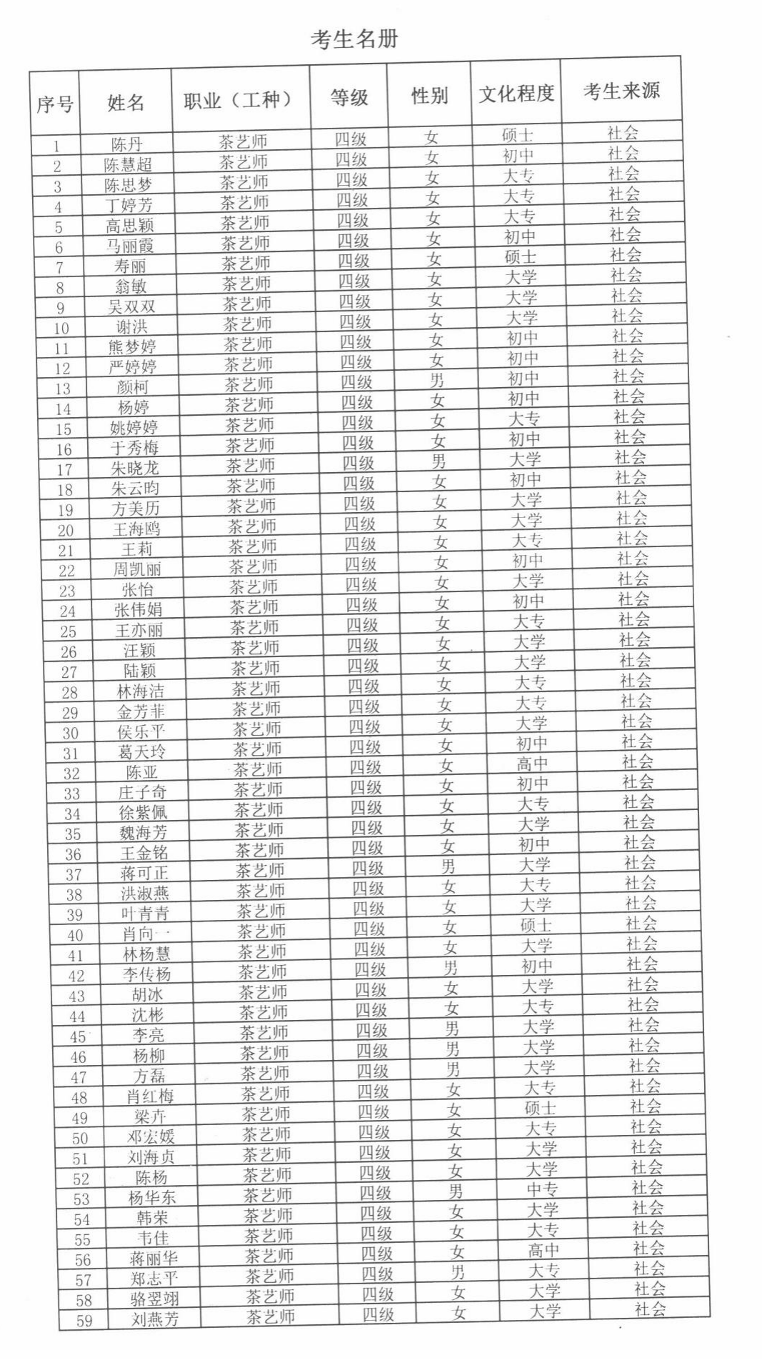
现将通过2022-07-40481、2022-07-40485批次茶艺师四级(中级)职业技能等级认定资格审核考生信息予以公示,公示期2022年6月15日至6月20日,如对公示情况有异议,请提供有效证据,并实名电话或书面联系公司职业技能认定中心。
职业技能认定中心:88297151
上一篇:关于2022-07-40848、2022-07-40849批次茶艺师职业技能等级认定考生信息的公示
下一篇:304永利集团2022-07-33218茶艺师五级认定成绩公示