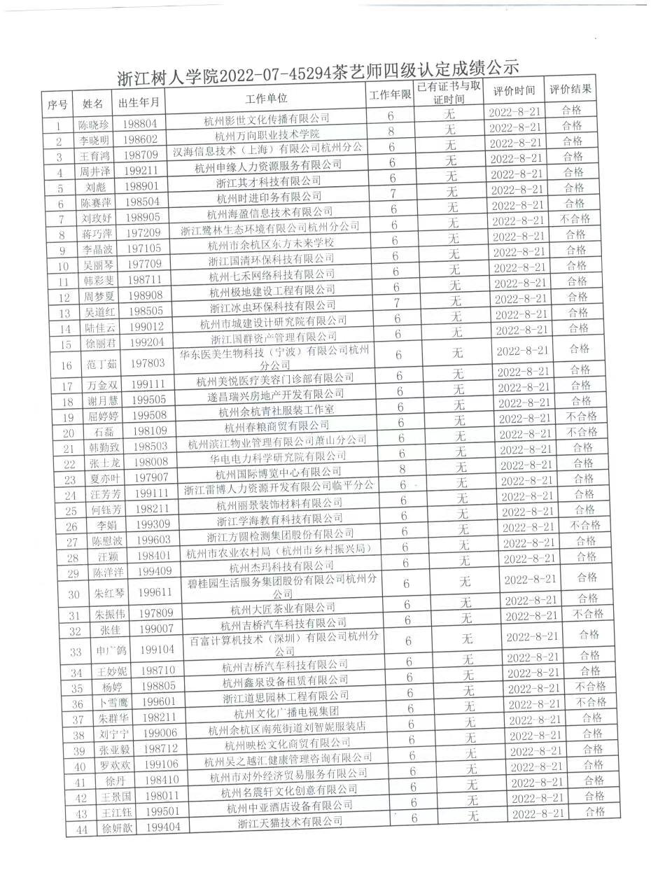
根据《浙江省人力资源和社会保障厅办公室关于印发<浙江省社会评价组织职业技能等级认定操作指南(试行)>的通知》,经审核,现将2022-07-45289、2022-07-45294批次茶艺师四级职业技能等级认定成绩予以公示,公示期2022年8月24日至8月30日,如对公示情况有异议,请提供有效证据,并实名电话或书面联系公司职业技能认定中心。
职业技能等级认定中心电话:0571-88297151(因技术原因导致部分成绩公示有误更新编辑于8月29日)
上一篇:关于2022-07-47050、2022-07-47547等批次茶艺师职业技能等级认定考生信息的公示
下一篇:关于2022-07-45289、2022-07-45294等批次茶艺师职业技能等级认定考生信息的公示