您所在的位置: 首页 > 技能认定 > 正文 技能认定
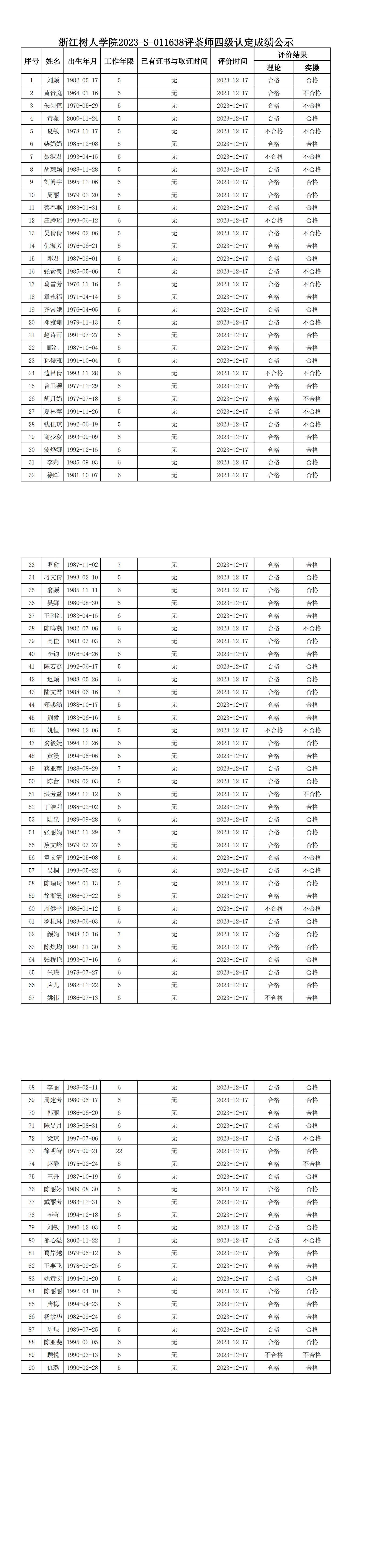
    关于2023-S-011638批次评茶师四级职业技能等级认定成绩的公示
    发布者: 来源:  日期:2023-12-21 10:25:13

    根据《浙江省人力资源和社会保障厅办公室关于印发<浙江省社会评价组织职业技能等级认定操作指南(试行)>的通知》,经审核,现将2023-S-011638批次评茶师四级职业技能等级认定成绩予以公示,公示期2023年12月21日至12月27日,如对公示情况有异议,请提供有效证据,并实名电话或书面联系公司职业技能认定中心。

    职业技能等级认定中心电话:0571-88297151

    上一篇:关于2023-S-012722批次茶艺师职业技能等级认定考生信息的公示

    下一篇:关于2023-S-011641批次咖啡师四级职业技能等级认定成绩的公示